Vulnerability of Rainfed Maize (Zea mays L.) to Climate Variability in the Municipalities of Atltzayanca and Huamantla, State of Tlaxcala
DOI:
https://doi.org/10.28940/terralatinoamericana.v43i.2351Keywords:
agrochemicals, climate change, pests, local producersAbstract
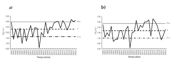
Rainfed agriculture faces recurring threats that af fect its productivity year af ter year. Soil moisture and temperature are essential factors for the proper germination, growth, and development of maize. Climatic events such as droughts and frosts, resulting from climate variability, represent the main risks, as they cause direct damage, increase the vulnerability of the agricultural system, and significantly af fect production and, consequently, the economic stability of local producers. The state of Tlaxcala has three rainfed maize-producing regions, with the Oriente Huamantla region being the most important. This region comprises 13 municipalities, among which Atltzayanca and Huamantla stand out due to their higher production levels. Therefore, the objective of this study was to determine the degree of vulnerability of rainfed maize cultivation to extreme climatic events in the municipalities of Atltzayanca and Huamantla. A mixed methodology was employed, integrating quantitative and qualitative approaches. Precipitation and minimum temperature variables for the period 1980–2021 were analyzed together with rainfed maize yield data by calculating means and standard deviations in order to establish correlations and determine the degree of vulnerability. Additionally, 182 questionnaires were administered, and group interviews were conducted in the selected municipalities. The results identified dif ferent degrees of vulnerability, with Huamantla being vulnerable to drought, exhibiting a 20% probability of obtaining low yields under this climatic event, as well as other relevant factors that also af fect crop performance, such as pest incidence and the use of agrochemicals. These findings highlight the need for future research adopting a holistic approach that integrates additional risk factors, including soil conditions, economic context, farmer training, seed type, and the increasing deterritorialization associated with agribusiness.
Downloads
Publication Facts
Reviewer profiles N/A
Author statements
- Academic society
- Terra Latinoamericana
- Publisher
- Mexican Society of Soil Science, C.A.
References
Barriendos Vallvé, M. (2005). Variabilidad climática y riesgos climáticos en perspectiva histórica; el caso de Catalunya en los siglos XVIII y XIX. Revista de historia moderna, (23), 11-13. https://doi.org/10.14198/RHM2005.23.01
Colotti, E., Cedeño, M. y Montañez, C. (2013). La sequía meteorológica y la variación de la superficie agrícola en la Isla de Margarita, Estado Nueva Esparta, Venezuela período 1972-2004. Terra Nueva Etapa, XXIX(45), 11-53. https://www.redalyc.org/pdf/721/72130180002
Comisión Nacional del Agua [CONAGUA]. (2023). Información Meteorológica del estado de Tlaxcala. Documento de circulación interna. Comisión Nacional del Agua, Gerencia estatal de Tlaxcala.
Corte Cruz, P. S. y Carrillo Huerta, M. M. (2018). Impactos del Programa Procampo en la producción de maíz y frijol en México, 2000-2010. EconoQuantum, 15(2), 95–112. https://doi.org/10.18381/eq.v15i2.7130
Creswell, J. W. (2014). Research Design: Qualitative, Quantitative, and Mixed Methods Approaches (4th ed.). SAGE Publications.
Cruz-González, A., Arteaga-Ramírez, R., Sánchez-Cohen, I., Soria-Ruiz, J. y Monterroso-Rivas, A. I. (2024). Impactos del cambio climático en la producción de maíz en México. Revista Mexicana de Ciencias Agrícolas, 15(1), 1-15. https://doi.org/10.29312/remexca.v15i1.3327
Denzin, N. K., y Lincoln, Y. S. (2011). The SAGE Handbook of Qualitative Research (5th ed.). SAGE Publications.
Doebley, J. (2004). The genetics of maize evolution. Rev. Genet 38, 37–59. https://doi.org/10.1146/annurev.genet.38.072902.092425
Felipe Giraldo, O. (2018). Ecología política de la agricultura. Agroecología y posdesarrollo. ECOSUR.
Flick, U. (2018). An Introduction to Qualitative Research (5th ed.). SAGE Publications.
Gallegos-Cedillo, J., Arteaga-Ramírez, R., Vázquez Peña, M. A. y Juárez Méndez, J. (2015). Estimation of missing daily precipitation and maximum and minimum temperature records in San Luis Potosí. Ingeniería agrícola y biosistemas, 8(1), 3-16. https://doi.org/10.5154/r.inagbi.2015.11.008
García Marín, R. (2008). Riesgo de sequía y vulnerabilidad socioeconómica en la cuenca del Guadalentín. [Tesis doctoral]. Universidad de Murcia].
González-Cortés, N., Silos-Espino, H., Estrada Cabral, J. C., Chávez-Muñoz, J. A. y Tejero Jiménez, L. (2016). Características y propiedades del maíz (Zea mays L.) criollo cultivado en Aguascalientes, México. SciELO, 7(3), 669-680. https://www.scielo.org.mx/pdf/remexca/v7n3/2007-0934-remexca-7-03-669-en.pdf
Grassi Cantero, B. A. (1983). Riesgo de primeras y últimas heladas en Puebla y Tlaxcala, respecto a los cultivos básicos. [Tesis de maestría no publicada]. Colegio de Postgraduados. Chapingo, México.
Hernández Sampieri, R. Fernández Collado, C. y Baptista Lucio, P. (2014). Metodología de la Investigación. (6.a ed.). McGRAW-HILL / INTERAMERICANA EDITORES.
Hernández Vázquez, M. (2010). Capacidades tecnológicas y culturales de los agricultores de maíz de temporal para enfrentar la variabilidad climática. Caso Españita y San Felipe Ixtacuixtla, Tlaxcala. [Tesis doctoral no publicada]. El Colegio de Tlaxcala A.C.
Hernández Vázquez, M., García Juárez, G. y Orozco Bolaños, H. (2019). Cambio climático y seguridad alimentaria: Maíz de temporal, percepción y aflatoxinas en el estado de Tlaxcala. Universidad Autónoma de Tlaxcala.
Instituto Nacional de Estadística Geografía e Informática [INEGI] (1994). Estado de Tlaxcala Cuaderno Estadístico Municipal.
Instituto Nacional de Estadística Geografía e Informática [INEGI] (2005). Síntesis sociodemográfica municipal de Huamantla.
Lazos Chavero, E. (2014). Consideraciones socioeconómicas y culturales en la controvertida introducción del maíz transgénico: el caso de Tlaxcala. Sociológica, 29(83), 201-240. https://www.scielo.org.mx/scielo.php?script=sci_arttext&pid=S0187-01732014000300006
Matías Ramírez, L. G., Fuentes Mariles, O. A. y García Jiménez, F. (2021). Heladas. Centro Nacional de Prevención de Desastres.
Moreno Sánchez, A. R. y Urbina Soria, J. (2008). Impactos sociales del Cambio Climático en México. INE-SEMARNAT y PNUD.
Organización Meteorológica Mundial [OMM]. 2006. Declaración de la OMM sobre el estado del clima mundial en 2005. Organización Meteorológica Mundial. https://www.uncclearn.org/wp-content/uploads/library/wmo131_spn_0.pdf
Orozco Bolaños, H., Hernández Vázquez, M., García Juárez, G. y Suárez González, G. (2019). Cambio climático: Una percepción de los productores de maíz de temporal en el estado de Tlaxcala, México. Revista Iberoamericana de las Ciencias Biológicas y Agropecuarias, 10(19), 1-26. https://doi.org/10.23913/ciba.v8i16.89
Orozco Hernández, M. E. y López Andrés, D. (2007). Estrategia de supervivencia familiar en una comunidad campesina del Estado de México. Ciencia Ergo Sum, 14(3), 246-254. http://www.redalyc.org/articulo.oa?id=10414302
Patton, M. Q. (2015). Qualitative Research & Evaluation Methods (4th ed.). SAGE Publications.
Rincón-Tuexi, J. A., Castro-Nava, S., López-Santillán, J. A., Huerta, A. J., Trejo-López, C., y Briones-Encinia, F. (2006). Temperatura alta y estrés hídrico durante la floración en poblaciones de maíz tropical. Revista Internacional de Botánica Experimental, 75, 31–40. https://www.scielo.org.ar/pdf/phyton/v75/v75a03.pdf
Ruiz Corral, J. A., Hernández Casillas, J. M., Sánchez González J. de J., Ortega Corona A., Ramírez Ojeda, G., Guerrero Herrera M. de J., Aragón Cuevas, F., Vidal Martínez V. A. y Larios, L. de C. (2013). Ecología, adaptación y distribución actual y potencial de las razas mexicanas de maíz. INIFAP-CIRPAC-Campo Experimental Centro Altos de Jalisco.
Servicio de Información Agroalimentaria y Pesquera [SIAP]. (2023). Rendimientos de granos por Estados y años. http://nube.siap.gob.mx/
Teddlie, C., y Yu, F. (2007). Mixed Methods Sampling: A Typology With Examples. Journal of Mixed Methods Research, 1(1), 77-100. https://doi.org/10.1177/2345678906292430
Tobón Gómez, M. A., Yalí Henao, K. y Aristizabal Zuluaga, L. (2020). Caracterización nutricional de diez variedades de maíz y varios usos culinarios en la cocina tradicional de américa: revisión documental. Universidad Católica de Oriente. https://repositorio.uco.edu.co/bitstream/20.500.13064/907/1/trabajo%20de%20grado%20oficial.pdf
Urango, M. L. A. (2018). Componentes del maíz en la nutrición humana. Revista UdeA, (9), 187-207. https://revistas.udea.edu.co › article › download
Wilks, D.S. (1995). Statistical Methods in the Atmospheric Sciences. Academic Press.
World Meteorological Organization (WMO). (1992). International Meteorological Vocabulary. WMO/OMM/BMO.













